|
对于电液伺服试验系统中的多变量试验控制对象,采用小波变换[1,2]和文献[3]所提出的解耦控制结合“参征器”的复合控制策略,可有效地解除耦合影响和控制启动、干扰和控制对象、方式改变对控制产生的影响,提高控制质量。为此我们研制了多变量控制系统试验装置。 1电液伺服多变量控制试验装置简介 1·1控制对象 试验装置的控制对象是9个作动器,这是一个9*3的多变量系统。对应每个作动器中,均有位移、力和应变三个被控变量。这9个作动器中间存在着耦合关系,各个参量之间相互影响。例如一个作动器力、位移的增加和应变的变化,总是影响着另一个作动器力、位移的减少和应变的变化。该系统中,虽然变量相互关联,但每个输出变量总是有一个基本通道,即某一输入变量必定通过某一基本通道影响某一输出变量,即输入与输出变量配对。 1·2测量采样环节 应变、力传感器为应变电阻,位移为采用变压器原理的传感器,它们经A/D模块,转换成数字量。 1·3执行器 伺服作动器的执行器伺服阀均为电动调节阀,都为数字调节器输出的数字量经D/A模块,转换成模拟量(0~10V)来控制的。 1·4微机电液伺服控制器(数字调节器) 数字调节器包括子控制器、主控制器和“参征”补偿控制器,其不同控制规律,均由数字控制器编制的程序来实现。学生通过计算机进行“组态”和“参数设置”,即通过自由编程来完成电液伺服多变量系统试验过程控制。 2电液伺服多变量控制试验装置的设计与实现 2·1设计原理 电液伺服系统是典型的机-电-液耦合系统,具有复杂非线性和不确定性特性。在多变量电液伺服控制系统中,某一个通道的控制调节器输出的控制量将成为其它通道的调节器的干扰,所以,根据错开控制原理,采用小波变换和文献[3]所述方法,提出一种“主控制器”结合“参征器”的复合控制策略,来实现电液伺服试验系统的多变量控制。小波变换的作用主要是实现信噪分离,及获取PID神经元网络和辨识网络的输入特征量:输出反馈信号的模值和尺度的模局部极值矢量。错开控制原理,即将整个控制系统分为多个独立的控制闭环来考虑,采取分目标调节期望值的策略,只要它们各自的调节机构单独工作时可使系统稳定,整个系统也总是保持在稳定域内。 “主控制器”结合“参征器”的控制系统结构如图1所示。 图1中,子控制器的输入有输入给定r,被控对象反馈信号及pid神经元网络输出控制量。子控制器的输出有内部辨识网络的输出,对n个被控对象控制输入,以及为pid神经元网络提供的输入特征量:输入给定,反馈信号小波变换模值,尺度3~尺度6上的小波变换模局部极值矢量。 主控器由多个并列子网络组成,如果检测系统有n个被控变量,子网络就有n个。每个子网络由一个三层PID神经元网络构成,其各层神经元个数、连接方式、连接权初值以及控制参数的调整是基于被控过程的反馈信号小波变换结果,根据所提取的网络输入特征量信息,结合PID控制规律的基本原则和已有经验确定的。子网络的输入层至隐层是相互独立的。隐含层有3个神经元,其中包括1个比例元、1个积分元和1个微分元,它们的状态函数分别为上、下限幅的比例、积分和微分函数。隐含层至输出层是相互交叉连接的,使整个PID神经元网络结合为一体;网络的n个输出值为通过对应子控制器对n个变量的控制输入。子控制器主要为主控器提供输入特征量,对被控对象的输出反馈信号进行小波变换及特征提取、网络辨识等数据处理;参征器的作用是根据子控制器内部辨识网络的控制输出命令,对对应被控对象进行补偿控制。 2·2控制原则 当偏差较小,或被调节量离给定值较近且正在快速接近给定值时,则由主控制器施加较小的控制量(某范围内控制量可为零),保证系统具有足够高的控制精度和稳定性能;当偏差较大或被调量快速远离给定值时,则在主控制器加大输出控制的同时,根据偏差和偏差变化,由参征器中施加适当的控制量以控制被调节量返回给定值,保证系统响应的快速性,抑制干扰和其它情况的影响;对于某一控制瞬间受多闭环之间互扰影响的其它非控变量,则根据其对应反馈信号小波变换模值大小和尺度3-尺度6上模局部极值极性、幅度,下一次调节时取模值变化最大,模局部极值矢量表现特征最明显者优先调节,并根据其模值、尺度上模局部极值极性、幅度大小,确定给定控制量的大小或方向。 2·3输入输出函数及算法设计 根据文献[3],隐层各神经元的输入函数为: 式中:i=1,2,…,6,ωsij、xsi、s、i、j、k的含义与文献[3](1)式同;根据文献[3],式(2)、(3)、(4)及式(5)可分别获得比例元、积分元、微分元的状态及隐含层各神经元的输出。 对应子网络神经元的传递函数采用S形函数;每个子网络输出层节点数目为1个。因为采用S形函数,理想输出值设置为0·1。 本文包含PID神经元网络和多变量对象在内的主控制器,采用误差后向传播的学习算法。学习的目标是使: 为最小。式中rp为系统给定值, yp为系统输出值;m为每批采样点数, n为被控变量个数。 按梯度法调节主控制器PID神经元网络权值[5]。 学习步长的选取,采用Lyapunov稳定性原理确保系统收敛的学习步长范围。 当PID神经元网络的学习步长η满足: 
权值调整算法: 保证控制系统在学习过程中收敛。其中W表示PID神经元网络的连接权值ωsij和ω′sij,J由式(2)确定。
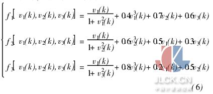
2·4仿真实例 如前所述,所研制的实验装置控制的作动器实际为9个,为便于描述,及简化控制系统结构,以3个作动器的仿真来表征这一多变量系统的控制过程。控制对象为一电液伺服结构加载试验系统。使用3个作动器分别从正面,背面和侧面对一钢筋混凝土构件进行静力加载试验。这一强耦合的非线性对象可由以下方程描述: 
其中,非线性函数为: 
其中,v1(k),v2(k),v3(k)分别为三输出反馈信号的传递函数,k为采样时刻。 给定输入激励为: 
这时选取输入给定分别为20kN、25kN、30kN的加载静力。采用三输出的主控制器结合“参征器”对其进行控制。每个子控制器计算步长为600μs内等间隔采样完3个通道,每通道连续采样8点数据。学习步长η=0·1,每批采样点数m=768。 为了实现对3个作动器的联合控制,每一变量作动器的反馈信号通过一个子控制器进行前述数据预处理后,与输入给定一起送入主控制器内的对应子网络输入层节点。子控制器内CPU采用DSP芯片TMS320F206, A/D、D/A采用16位的ADS7805和AD669高速芯片。 本系统的最高控制调节频率为600μs,即600μs内每个子控制器向主控制器对应子网络提供一次输入特征数据,主控制器根据输入特征数据和网络训练的结果通过子控制器对该控制系统中的其中一个作动器进行一次控制调节。子控制器通过辨识网络对小波变换的结果分析检测到被控对象处于控制启动、受到干扰或控制对象发生改变时,则在主控制器对该被控变量实施控制的同时,启动参征器输出频率10kHz,幅度足够的参征信号,对该被控变量实施补偿控制。由于加入的参征信号,实现了类似积分的作用,从而达到抑制平衡点邻域小范围内振荡的目的,消除可能引起的系统不稳定。由于本系统的最高动态响应频率为200Hz (5ms),即系统的给定控制信号频率在0~200Hz,因此, 600μs的调节(控制)频率可以满足系统动态响应的要求。这样,经过几个采样周期以后,即可达到对系统实施稳定控制的目的。 用给定输入激励分别训练网络96次以后,系统对输入给定为25kN的输出响应如图2 (a)所示;网络训练成功后,输出载荷分别为20kN、25kN、30kN时的静力加载控制曲线如图2 (b)所示;学习的前25步中的系统误差平方均值衰减曲线如图2 (c)所示;控制对象由刚性负载变为柔性负载时,输出载荷为30kN时的静力加载控制曲线如图2 (d)所示。 图2 (a)、(b)分别从动态和静态说明当某一个加载静力的给定值从0变到目标值20kN,或25kN,或30kN作阶跃扰动时,其余2个的耦合影响较小,而且三者都很快达到稳定状态;图2 (c)、(d)说明在控制初期、干扰影响、控制对象或方式改变时,由于加入参征信号对该被控变量实施补偿控制,实现了类似积分的作用,从而达到抑制平衡点邻域小范围内振荡的目的,消除可能引起的系统不稳定,使得网络学习过程中的误差单调递减,未陷入局部极小点,能明显降低切换点的扰动,使系统运转更加平滑。从而说明该文所述方法能够实现电液伺服多变量系统的联合协调控制。 
摘自:中国计量测控网
|