|
1引言 温度在工农业生产中是用的最多的热工量,热电偶作为一种接触式温度传感器由于其结构简单,测温范围宽,精度高等优点,所以在工业温度测量中广泛应用。但在热电偶的使用中,需解决两方面的问题:一是需对热电偶的冷端进行温度补偿。二是对热电势和温度的非线性处理。本文利用美国MAXIM公司生产的K型温度补偿器MAX6675来实现冷端的温度补偿,用二次插值的方法对热电势和温度的非线性进行处理,实践证明,该方法精度高、可靠性好。 2热电偶冷端温度补偿电路 具有冷端补偿的单片K型热电偶放大器与数字转换器MAX6675内部自带冷端温度补偿、线性校正、A/D转换器、热电偶断线检测等功能,它将温度测量值转换为单片机能识别的16位二进制数字温度读数,其测温范围为0~1023.75℃,转换精度为0.25℃,冷端温度的补偿范围为-20~+85℃,工作电压为3.0~5.5V,当冷端温度波动时,MAX6675仍能精确检测热端的温度变化[2,4]。在使用中仅需2线SPI串行接口,与单片机连接非常方便。这里以AT89C52单片机为例,给出MAX6675与单片机接口构成的测温电路,接口如图1所示[1]。 
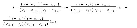
3软件的非线性处理 对热电偶得到的非线性信号的处理采用查表和程序计算的方法来解决,由拟和理论可知,对非线性信号可用多项式y=a0+a1x+a2x2+a3x3+…+anxn来拟和,且多项式次数越高,精度也越高。但在实际的智能测温系统中,由于受速度和存储容量的限制,只能采用有限次拟和。本文根据热电偶的热电势与温度曲线,提出用二次插值的方法(即取多项式前三项)来对非线性进行处理,其方法是先在存储器中存入热电势和温度的序列表(e0, t0)(e1, t1)(e2, t2)(e3, t3)……(en, tn)对于任意的热电势e,假设通过程序可判别它在热电势和温度序列中的位置为ei≤e≤ei+1≤ei+2(0≤i≤n-2)则对应的温度t可由下式计算 
出温度值。由于在(ei,ei+2)内,将信号拟合成抛物线,更接近于电势与温度的实际,所以拟和的精度大大的提高,同时在相同的精度下,变量序列的步长取得相对较大,这样可大大压缩表格的数据量,从而极大节省了内存空间。本文以K型镍铬—镍硅为例,每50℃存储一个热电势值(uV),若测温范围为-50~+1100℃,存储的热电势值依次为:-1889,0,2022,4095,6137,8137, 10151, 12207, 14292, 16395, 18513, 20640, 22772, 24902,27022,29128, 31214, 33277, 35314, 37325, 39310, 41269, 43202,45108[3]。表1是对部分热电势的计算结果,由此可以看出,二次插值精度远远高于一维插值精度。 
4软件设计 系统启动后,首先将加热炉等设备的设定温度通过键盘接口送入单片机的寄存器,然后读取MAX6675的测温数据,16位的输出数据高位在前,低位在后,然后用二次插值的方法计算出当前温度值,并与系统设定温度进行比较,若当前温度是设定温度则显示,若超出设定温度,则驱动温度控制电路动作。软件程序流程如图2所示。 
5结束语 用MAX6675作为热电偶的冷端温度补偿器,不仅电路结构简单,而且转换精度高,用二次插值理论对非线性处理精度高,误差小于0.1℃,应用本方法在实验室通过对2KW电阻炉的炉温控制测试,效果很好,如果采用DSP芯片效果会更好。此方法可广泛应用于电子测量和工业仪表等领域的温度测量。 摘自:中国计量测控网
|